中文   |  English
磁学测试设备
面内低温磁场探针台

基本信息

联系人电话邮箱

朱大鹏

zhudp@dienj.com

仪器产地

美国

分类标签

材料测试仪器(磁电特性)

主要学科领域

自旋动力学-薄膜材料(磁电性能)

测试服务内容

1.测试薄膜样品的ST-FMR曲线;

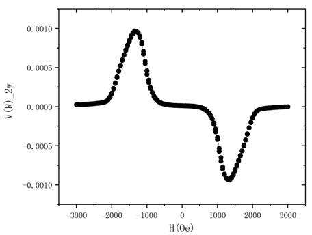
2.测试薄膜样品的二次谐波;

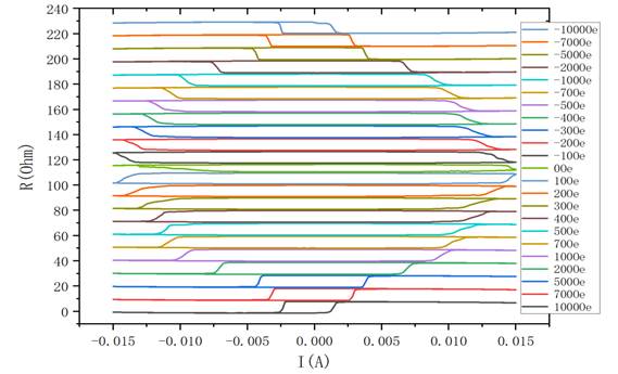
3.测试薄膜样品的switch曲线

技术指标

1.温度范围5-400 K

2.磁场范围±6000 Oe

3.直流到射频测试(<20G)

主要功能

面内低温磁场探针台可在于真空及变温条件对材料的自旋霍尔角,阻尼系数,有效场等的测量,可应用ST-FMR技术,二次谐波技术,同时集成了电流驱动磁矩翻转(switch)的测量。

样品要求

1.所有测试样品不能超过两英寸;

2.ST-FMR的测量需微加工成马鞍形;

3.二次谐波及switch的测量需微加工成hall bar。

预约说明

提前7天预约

检测周期

一般自收到样品后15天内给出结果

收费标准

500元/小时

设备照片:

ST-FMR

Second harmonic

Switch

该版权归北京欧美大片ppt免费大全青岛研究院所有 技术支持:博达软件